置顶华恒生物入驻有料网化工交易平台
昨日,上市公司华恒生物(688639.SH)正式入驻化工产品交易服务平台有料网并开设品牌旗舰店,这是继西陇科学(002584.SZ)后第二家入驻有料网的上市公...
昨日,上市公司华恒生物(688639.SH)正式入驻化工产品交易服务平台有料网并开设品牌旗舰店,这是继西陇科学(002584.SZ)后第二家入驻有料网的上市公...
由于互联网的便捷从而带动老百姓的消费水瓶,现在大部分的年轻人选后二手闲置或成为日常的习惯,但是前提是平台得靠谱,下面我来说下,作为一个进场游荡在二手交易平台的用...
据当地媒体报道,在香港上市的加密货币平台——火币集团已获得监管部门批准,可在迪拜提供服务。 该公司发表了一份声明,在迪拜虚拟资产监管局 (VARA)的许可下,...
7月29日,在2022中国算力大会“算力网络创新发展”分论坛上,中国移动发布“算网服务1.0”,聚焦云产品服务、关键技术研究等方面打造覆盖云、网、边、端的算力服...
在华为伙伴暨开发者大会 2022 上,科学技术部高新技术司副司长梅建平,鹏城实验室主任、中国工程院院士高文,华为公司副总裁、计算产品线总裁邓泰华,共同见证“中国...
(通讯员陈海旋)为培养孩子们的理财意识,引导他们树立理智消费、勤俭节约的观念,近日,“飞跃鹰隼”社会实践队于湛江市遂溪县杨柑镇布政小学开展关于理财的理财小知识理...
我们都知道,CE认证都是涉及对外经营销售的产品,在进入其它国家之前,一定要做的一份测试报告或者证书。涉及到的产品太多,我就不一 一细说,今天主要是跟大家聊下,C...
财务摘要 ● 总收益3.52亿元(港币,下同),同比增长34.4%或90.1百万元; ● 总资产达13.35亿元,同比增长87.4%;现金及现金等价物达374....
比特币等虚拟货币市场剧烈震荡,虚拟货币交易平台似乎也开始发生变化。 据海外媒体报道, 火币集团创始人李林正在与一群投资者谈判,以高达30亿美元的估值出售其在火币...
在线教学平台开发商有哪些?如果在线教育工作者想要创建自己的在线品牌,建立自己的课程体系,那么找到一个在线教学平台开发商是至关重要的,有哪些口碑良好,在业内很受...
在线考试平台是如今许多企业都在使用的系统。它能为考核管理者节省许多的人力和物力。那么市面上如此之多的在线考试平台,究竟哪些最为好用呢? 让我们来看一下考考这款在...
新的 DOGE 网站已经上线 狗狗币开发人员已经为该硬币提供了一个新的和更新的网站。 DOGE 以有史以来第一个成功吸引大量注意力和狂热追随者的模因硬币而闻名...
段艮秀,男,63岁,1959年12月28日出生,山西太原人,汉族,初中文化。1978年参加工作,从小就喜欢画画和摄影。 获奖荣誉 2022年瀚墨百家第二届“...
市委网络安全和信息化委员会第四次会议召开 6月23日上午,岳阳市委书记、市委网信委主任曹普华主持召开市委网络安全和信息化委员会第四次会议,他强调,要举好“网...
近两日,有多名粉丝反应,中币网出现了问题,问题还很严重。 7月2日,微博有受害者曝光一个ZB交易所黑幕,其中提到中币(ZB)随意冻结用户资产不给解冻不给解决方案...
重要提醒 @上海医保参保人 注意啦! 2022年“沪惠保”保障期 自2022年7月1日至2023年6月30日 现在投保,即时进入保障期!...
相信很多人都会有收藏的习惯,有些人喜欢收藏玉石、有些人喜欢收藏书画、有些人喜欢收藏钱币。说到钱币相信很多人都有在收藏,因为钱币的收藏是最容易的了,我们正在使用的...
我们在聊到外汇和人民币汇率的时候经常会听到两个专业名词,一个是在岸人民币,一个是离岸人民币。你是否有疑问:两个都是人民币,为什么要分成在岸和离岸呢?它们之间有什...
虎币余量兑换公告一出,最近价格怎么样?咱们一起来看看! 虎币价格 在央行公告前,虎币的势头一直不可阻挡,不管是求购价或者出售价都高居不下。市场大宗求购价在19....
拒绝高佣金、诚挚伴客户 国内期货交易所品种基本可以分为两大类:商品期货和金融期货。即以实物商品,如大豆期货、玉米期货、铜期货等作为期货品种的属于商品期货;...
开展规范涉企执法司法专项行动,是全国法院贯彻党中央重大决策部署、优化法治化营商环境、解决企业和群众急难愁盼、营造公平有序的市场环境的生动实践,对于稳定社会预期、...
据江苏人大发布消息,11月27日,江苏省第十四届人民代表大会常务委员会第十九次会议通过: 任命沈剑荣为省人民政府副省长;接受李忠军辞去省人民政府副省长职务的请求...
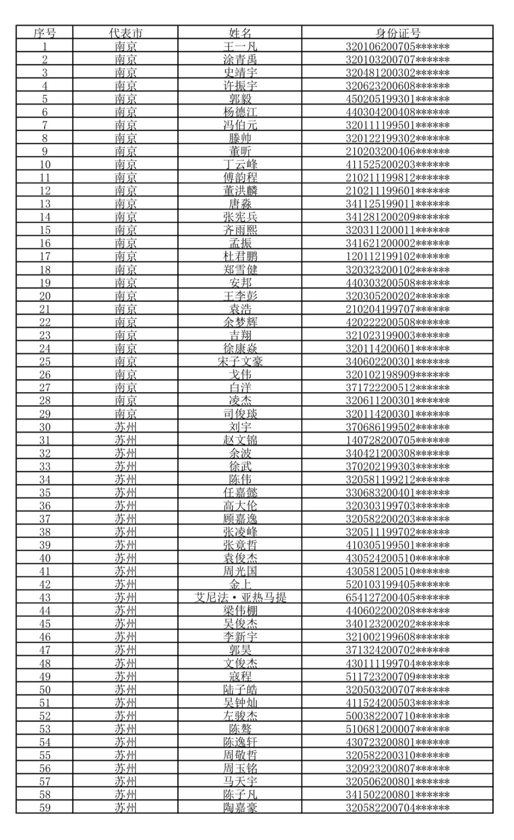
公示 按照《第二届江苏省足球发展重点城市对抗赛竞赛规程》对球员参赛资格审查的相关要求,现将球员报名名单进行公示。 一、公示时间为2025年11月7日至13日。...
近日,江苏省审计厅组织开展审计查出问题整改情况专项审计调查,聚焦审计查出问题整改的组织管理、责任落实、追责问责、成果利用、机制完善等情况,推动压实整改责任、巩固...
8月27日,江苏无锡市人民代表大会常务委员会公告透露,江阴市选出的黄丽侠,因工作变动调离本市。依照代表法的有关规定,黄丽侠的市十七届人大代表的代表资格终止。 公...
7月18日,江苏省人民政府发布最新人事任免通知,任命朱华为江苏省人力资源和社会保障厅副厅长,试用期一年。 朱华(资料图) 朱华,男,汉族,1971年5月出生,...
直播吧6月3日讯 在接受《时代周报》采访时,江苏省足球运动协会副主席王小湾介绍了苏超联赛创办的原因以及组织结构情况。 时代周报:大家说的“苏超”具体是一个怎么...
文章来源:岸上井蛙 在2025年5月29日,一则重磅消息震动江苏官场:江苏省国资委原党委书记、主任徐郭平,因涉嫌严重违纪违法,正在接受江苏省纪委监委的纪律审查和...
中宏网河南4月5日电 为深入贯彻党的二十大精神,学习借鉴江苏省南通市公安局在保安押运公司自建商业性金库审批和南通公安便民服务“一张图”先进经验,近日,信阳市公...
2022年6月17日下午,建行江苏省分行通过线上直播形式,举办“惠市·惠企”集惠专项行动暨普惠个人经营性信贷系列产品发布会,实打实地助企纾困。 江苏省工商业联...